Soal Matematika Kelas 11 Semester 2 Dan Jawabannya Tentang Limit docx
Soal matematika kelas 11 tentang limit. Bagaimana Quipperian sudah mulai memahami konsep dan penyelesaian tentang limit fungsi aljabar.
Soal Matematika Untuk Kelas 1 Sd
Dengan menggunakan konsep limit fungsi berikut gradien garis singgungnya.
Soal matematika kelas 11 semester 2 dan jawabannya tentang limit. Soal Fisika Kelas 10 Semester 2 Beserta Owin Hk Ebook And Manual. Contoh Soal Ujian Matematika Kelas 11 Semester 1 dan Kunci Jawaban Kurikulum 2013 Berikut ini adalah 20 butir contoh soal matematika semester 1 untuk siswa pelajari dalam menghadapi ujian sekolah K13. Kalau kamu murid laki-laki mungkin akan bingung dan bertanya Kok matematika pakai logika segala.
Dalam postingan ini saya bagikan soal matematika kelas 10 11 12 beserta kunci jawaban atau pembahasannya. Contoh Soal Trigonometri Kelas 10 Dan Pembahasannya Ilmu. 45 Contoh Soal Statistika Dan Jawaban Pembahasan.
Soal Matematika Peminatan Kelas 10 Semester 2 Dan Jawabannya. Jika ada kritik saran maupun pertanyaan kamu juga dapat menyampaikannya melalui kotak komentar. Gubernur jawa barat h.
Apabila kamu ingin memahami konsep pelajaran-pelajaran lainnya baik itu kurikulum KTSP 2013 atau K-13 Revisi langsung saja bergabung bersama Quipper Video. Contoh file berikut ini adalah kumpulan dari berbagi sumber tentang contoh soal matematika kelas 10 semester 2 tentang trigonometri yang bisa gunakan untuk dan diunduh. Lesley Pearson Soal Matematika Wajib Kelas 10 Semester 2 Dan.
Sementara sebagian perempuan akan berpikir Logika itu mah urusan laki-laki. Lks Matematika Kelas 11 Semester 2 Guru Ilmu Sosial. Pada kelas 2 semester ganjil siswa mempelajari materi.
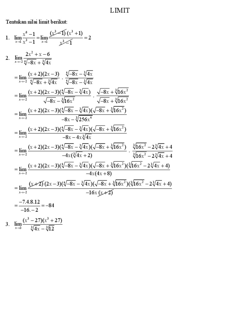
Soal-Soal Trigonometri2 Contoh soal bab trigonometri dan pembahasannya MATERI TRIGONOMETRI SMA KELAS X PENGERTIAN DAN CONTOH SOAL. Bank soal semester sma. Contoh soal limit kelas 11 dan pembahasan.
Materi Matematika Sebagai pembelajaran yang dapat mendidik kekuatan berpikir dengan perkembangan otak sehingga pembelajaran juga menghitung kami sekarang memberikan contoh soal matematika kelas 11 SMA MA STM dan SMK semester 1 dan 2 bersama jawabannya SMA 1 2 3 SMA MA STM dan SMK. Perilaku sehat merupakan pilar yang paling utama. Limit didalam konsep ilmu matematik biasa digunakan untuk menjelaskan suatu sifat dari suatu fungsi saat agumen telah mendekati pada suatu titik tak terhingga atau sifat dari suatu barisan saat indeks mendekati tak hingga.
Terima kasih telah membaca Download Materi dan LKS Matematika Kelas XI IPA Semester 2. Setelah selesai kinanti mengukur keliling dari taplak tersebut. Artikel contoh soal matematika kelas 10 untuk sma ma stm dan smk pg atau essay tahun 2020 semester 1 2 kunci jawaban pelajaran matematika.
Soal Matematika Kelas 7. Kumpulan Soal Limit Aljabar. Di sana kamu bisa belajar bareng tutor kece lewat video rangkuman dan latihan soal.
Contoh soal pg bahasa indonesia k13 kelas xi. Soal matematika wajib kelas 11 dan jawabannya. Penjelasan lengkap tentang contoh soal limit trigonometri sbmptn kelas 11 12 dan pembahasannya lengkap.
Dengan menggunakan konsep limit fungsi tentukan gradien garis singgung fungsi f x3x²-2x1. Ingkaran Konjungsi Disjungsi Implikasi dan Biimplikasi Apa yang kamu bayangkan ketika mendengar kata logika matematika. Soal Matriks Kelas 11.
Matematika Kelas 11 Logika Matematika. November 30 2020. Makalah materi download unduh contoh soal limit matematika beserta pembahasan dan jawabannya lengkap terbaru beserta pembahasan tentang pengertian limit.
Limit FungsiJika kamu ingin menyebarluaskan artikel ini kamu dapat mengcopynya dengan menyertakan sumber link asli di bawah. Soal Matematika Wajib Kelas 10 Semester 2 - Kunci Dunia Contoh Soal Matematika Kelas 10 Semester 1 Dan Penyelesaiannya Kunci Jawaban Matematika Peminatan Kelas x Soal PAT Matematika Wajib Kelas 10 dan Kunci Jawaban Soal Matematika Wajib Kelas 10 Semester 2 Dan. Download Soal Kelas 2 Semester 1 Tema 1 Subtema 3 Hidup Rukun Hidup Rukun Di Sekolah Rief Awa Blog Down Matematika Kelas 8 Matematika Kelas 4 Kurikulum.
Berikut ini adalah kumpulan berkas file guru tentang contoh soal limit kelas 11 semester 2 yang bisa anda unduh secara gratis dengan. Bab 1 materi pelajaran matematika tentang statistika. Demikianlah raja soal kimia memberikan sedikit latihan soal mengenai 50 soal kimia kelas 10 semester 2 dan jawabannya bagi kalian yang ingin mempelajari materi lainnya silakan kunjungi mengenai 20 soal kimia kelas10 uts semester 2 semoga belajar kalian bisa menjadi.
2011 Kunci Jawaban Lks Sosiologi Kelas Xi Penerbit Intan Pariwara. A 1 2 π rad b 3 4 π rad c 5 6 π rad. Tanpa basa-basi berikut soal matematika SMA kelas 11 tentang turunan.
Pilihlah salah satu jawaban yang paling. SOAL DAN PEMBAHASAN PERBANDINGAN TRIGONOMETRIpdf Contoh Soal Dan Jawaban Trigonometri Brainly IlmuSosialid Contoh Soal.
15 Contoh Soal Limit Kelas 11 Semester 2 Kumpulan Contoh Soal
Soal Matematika Kelas 1 Sd Semester 2
15 Contoh Soal Limit Kelas 11 Semester 2 Kumpulan Contoh Soal

Soal Matematika Smk Kelas 11 Semester 2 Dan Pembahasannya
Soal Pas Matematika Peminatan Kelas 11 Xi Semester 1 Mipa K13 Kunci Jawaban Dan Pembahasannya Fastest Math
![]()
Soal Matematika Smk Kelas 11 Semester 2 Dan Pembahasannya

15 Contoh Soal Limit Kelas 11 Semester 2 Kumpulan Contoh Soal

15 Contoh Soal Limit Kelas 11 Semester 2 Kumpulan Contoh Soal
15 Contoh Soal Limit Kelas 11 Semester 2 Kumpulan Contoh Soal
15 Contoh Soal Limit Kelas 11 Semester 2 Kumpulan Contoh Soal

Soal Pas Uas Matematika Wajib Kelas 11 Semester 1 Kurikulum 2013 Kunci Jawaban Pembahasannya 2 Youtube
Soal Pelajaran Matematika Kelas 3 Sd

15 Contoh Soal Limit Kelas 11 Semester 2 Kumpulan Contoh Soal

Materi Dan Contoh Soal Limit Fungsi Aljabar Matematika Kelas 11 Pakapri Net
Soal Matematika Kelas Xi Semester Genap
Soal Matematika Kelas Xi Semester Genap

15 Contoh Soal Limit Kelas 11 Semester 2 Kumpulan Contoh Soal

Soal Dan Pembahasan Ulangan Umum Matematika Kelas Xi Semester Genap Ta 2018 2019 Smkn 3 Pontianak Mathcyber1997

Post a Comment for "Soal Matematika Kelas 11 Semester 2 Dan Jawabannya Tentang Limit docx"